Please use the form below to calculate the BAR Score: (Please read the Terms and Conditions before you proceed)
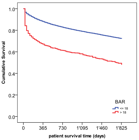
With increasing BAR points, patient survival is decreasing. However, while mortality is linearly increasing with increasing MELD or SOFT score, mortality is stable in the BAR up to 16, and then exponentially increasing at BAR 18.
Points (0 - 27): | 1 year - survival | 3 year - survival | 5 year - survival |
0 - 4: | 91 ± 1 % | 81 ± 1 % | 74 ± 1 % |
5 - 8: | 90 ± 1 % | 81 ± 1 % | 75 ± 1 % |
9 - 13: | 86 ± 1 % | 76 ± 1 % | 69 ± 1 % |
14 - 18: | 80 ± 1 % | 71 ± 1 % | 66 ± 1 % |
> 18: | 66 ± 2 % | 56 ± 2 % | 47 ± 3 % |
It is more suitable than any other available score system to define a certain threshold, when the risk for liver transplant appears too high.
This threshold was determined at 18 BAR score points, being the sum of several independent risk factors. Importantly, any high MELD situation can be balanced in this system for example by low donor and recipient age and short cold ischemia.
